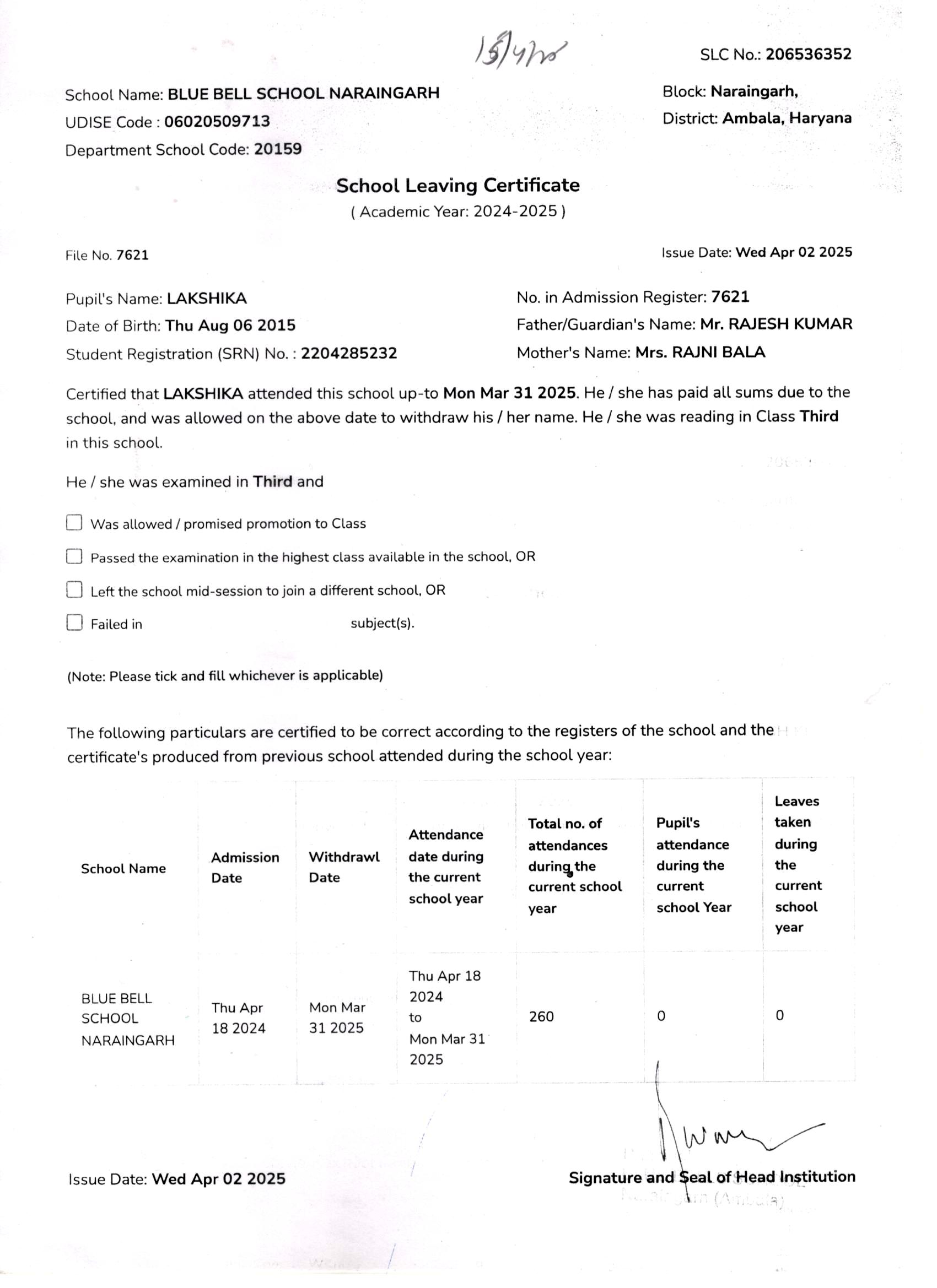
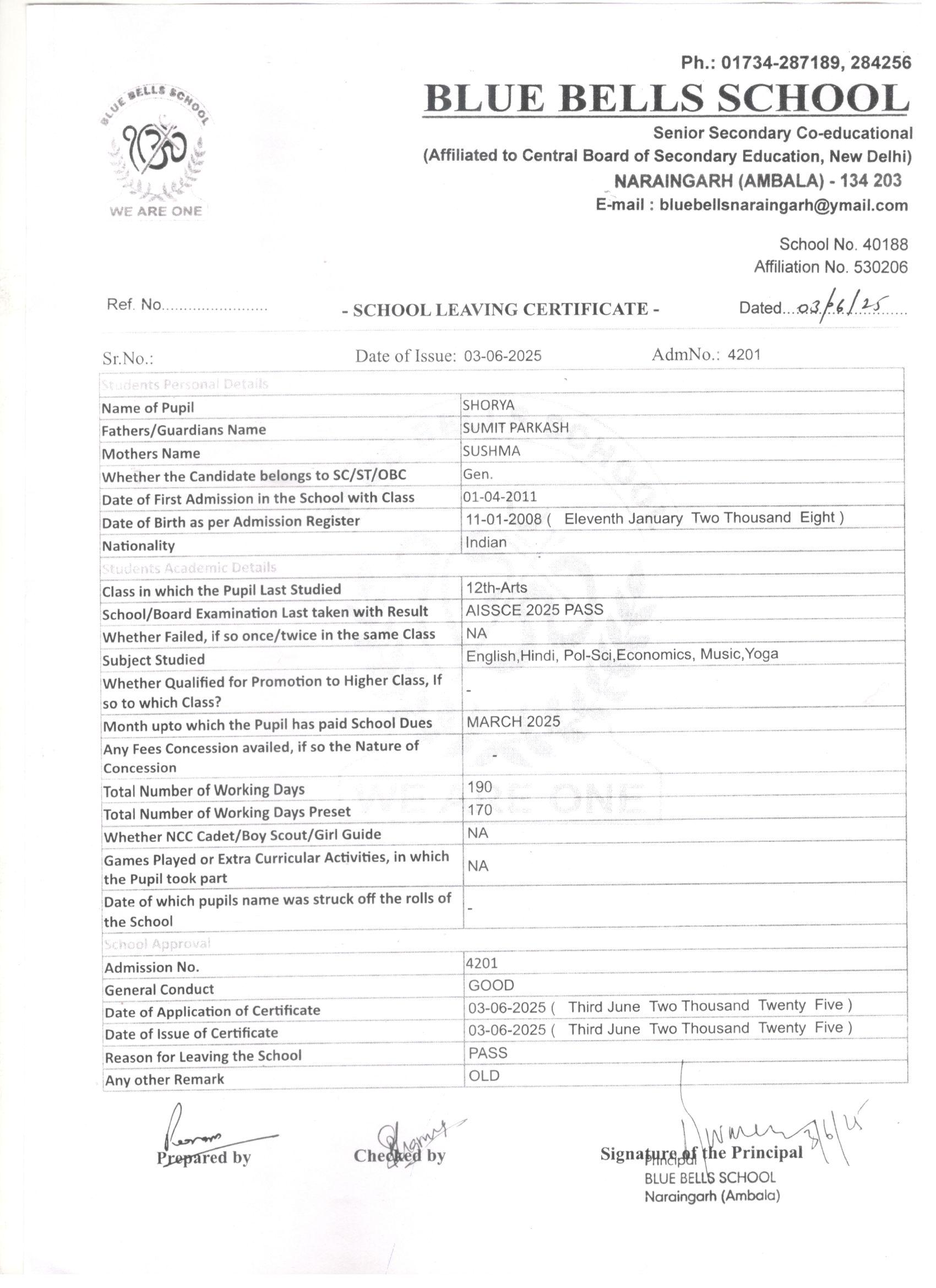
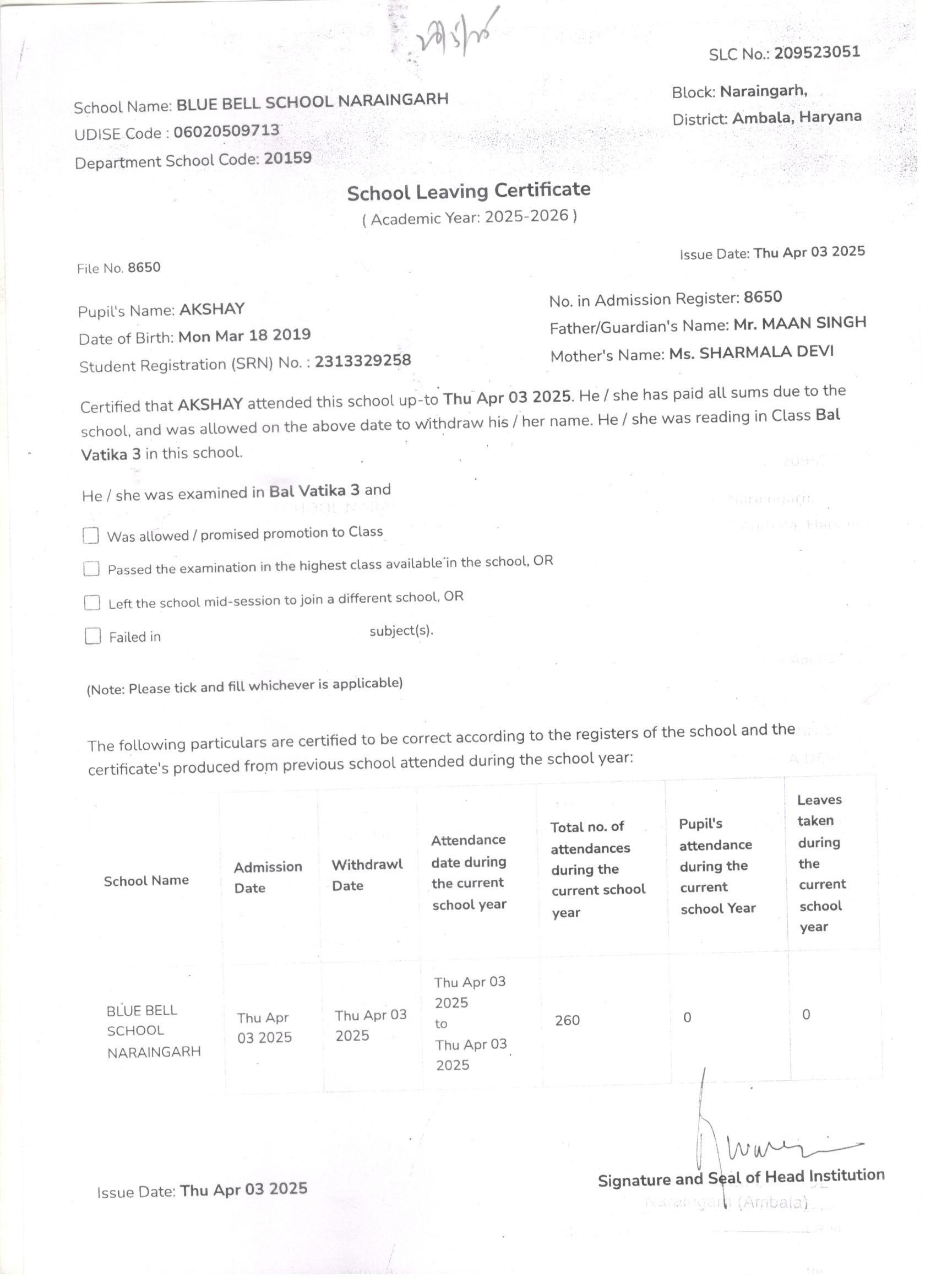
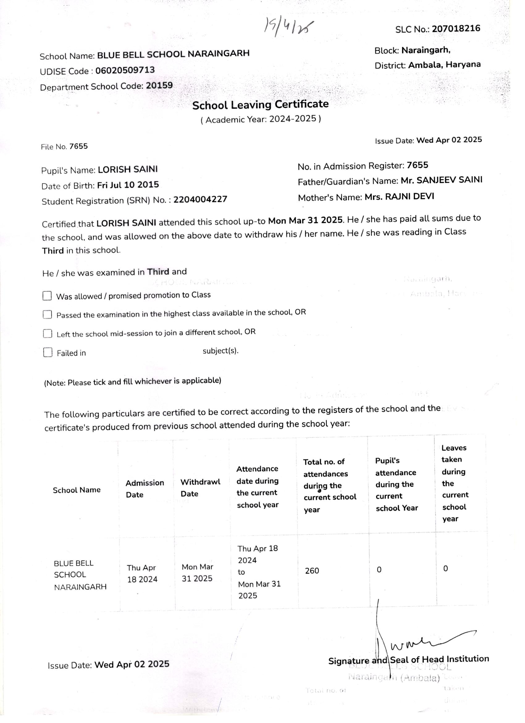
TRANSFER CERTIFICATE

Apply Transfer certificate within 15 days after declaration of final exam result otherwise fee will be charged for the month of April.

No SLC will be issued after 31st December. Full fee up to march will be charged.

TOP